I. Giới thiệu chung
Kiểm soát nứt là một vấn đề quan trọng nhằm đảm bảo 2 yếu tố chính : thẩm mỹ và độ bền của kết cấu.
Các vết nứt lớn làm giảm thẩm mỹ của kết cấu cũng như cho thấy kết cấu đang có vấn đề về mặt chịu lực.
Các vết nứt tạo ra kẽ hở cho oxi, nước thâm nhập và clorua tiếp xúc với cốt thép gây ăn mòn và phá hủy kết cấu.
Hiện nay các nghiên cứu và phân tích được tiến hành không ngừng nhằm tìm ra công cụ hỗ trợ cho việc kiểm soát vết nứt trong các cấu kiện bê tông cốt thép.
Theo các nghiên cứu hiện nay cũng như quy định trong các tiêu chuẩn thiết kế, việc kiểm soát bề rộng vết nứt được tiến hành bằng cách giới hạn khoảng cách cốt thép chịu lực. Frosch (1999) và các cộng sự đã đưa ra cái nhìn tổng quan về bản chất của ứng xử nứt trong cấu kiện bê tông cốt thép. Như được mô tả ở hình 1 ( dưới đây), bề rộng vết nứt (wc) tại vị trí tim cốt thép dọc có thể được tính toán wc = es.Sc trong đó es là biến dạng của cốt thép (fs/Es), Sc là khoảng cách giữa các vết nứt.
Hình 1:Mô hình vết nứt
Để xác định bề rộng vết nứt tại vị trí bề mặt của dầm, chúng ta cần xem xét sự biến thiên của biến dạng. Mặt cắt phẳng được giả thiết vẫn phẳng, và bề rộng vết nứt được nhân với hệ số mở rộng vết nứt.

Vết nứt phát triển trong bê tông bởi vì ứng suất kéo của bê tông vượt quá cường độ kéo của nó.Từ khi vết nứt bắt đầu xuất hiện, lực kéo trong mặt cắt được truyền sang cốt thép tại vị trí nứt. Giữa các vết nứt, lực kéo được chịu bởi bê tông và cốt thép. Hiển nhiên, ứng suất kéo trong bê tông tại vị trí nứt bằng không, và ứng suất kéo trong bê tông phân bố như hình 1. Nếu khoẳng cách giữa các vết nứt vừa đủ và dính bám trong cốt thép vừa đủ thì việc ứng suất trong cốt thép tăng sẽ dẫn đến ứng suất kéo trong bê tông tăng. Nó tiếp tục diễn tiến cho đến khi ứng suất bê tông đạt đến cường độ chịu kéo của nó.Ứng suất kéo lớn nhất trong bê tông xuất hiện tại vị trí giữa các vết nứt hiện hành tạo ra 1 vết nứt mới giữa các vết nứt hiện hành. Quá trình này tiếp tục diễn tiến cho đến khi khoảng cách vết nứt đủ nhỏ, không tạo ra ứng suất kéo đu lớn giữa các vết nứt. Kết quả là một mẫu hình nứt ổn định được tạo ra.
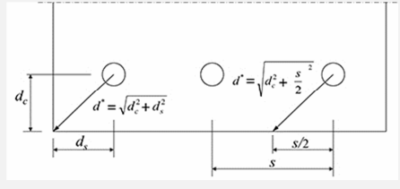
Có thể thấy rằng, khoảng cách giữa các vết nứt phụ thuộc chủ yếu vàovị trí xa nhất của lớp bê tông bảo vệ. Cụ thể, khoảng cách giưa các vết nứt nhỏ nhất bằng khoảng cách từ trọng tâm cốt thép đến điểm nằm trên mặt xa nhất của bê tông d*( Xem hình dưới ). Khoảng cách này là khoảng cách nhỏ nhất có thể phát triển vết nứt vì các khoảng cách nhỏ hơn không thể phát triển ứng suất kéo vượt quá cường độ kéo của bê tông. Khoảng cách giữa các vết nứt lớn nhất bằng 2 lần khoảng cách này vì một vết nứt có thể không mở rộng ra bằng 1 nửa khoảng cách giữa các vết nứt liền kề. Nói cách khác, nếu vết nứt tạo ra, thì khoảng cách giữa các vết nứt tối thiểu sẽ được tạo ra.
Từ đó, chúng ta có thể thiết lập công thức tính toán bề rộng vết nứt lớn nhất.Công thức có thể được sắp xếp lại để tính toán ra khoảng cách cốt thép tối đa cho phép. Như vậy, khoảng cách giữa các cốt thép được kiểm soát bởi ứng suất trong cốt thép và chiều dày lớp bê tông bảo vệ.

Bề rộng vết nứt điển hình được kiểm soát với giá trị xấp xỉ 0.016in( xấp xỉ 0.41mm). Giá trị này chủ yếu phụ thuộc vào yếu tố thẩm mỹ khi nghiên cứu cho thấy rằng ăn mòn không có mối quan hệ tương quan với bề rộng vết nứt một cách rõ ràng. Đó là lý do mà tiêu chuẩn ACI 318 dựa vào bề rộng vết nứt 0.016in(xấp xỉ 0.4mm) không phân biết giữa tiếp xúc bên trong và tiếp xúc bên ngoài. Công thức này được đưa vào trong tiêu chuẩn AASHTO xuất phát từ công thức trên với bề rộng vết nứt 0.017in( xấp xỉ 0.43mm). Kiểm soát bề rộng vết nứt được trình bày ở đây tập trung vào ứng xử uốn và nứt trên bề mặt chịu kéo của cấu kiện. Hơn thế nữa, việc kiểm soát vết nứt dựa trên mô hình chịu uốn chỉ có thể áp dụng để thiết kế cấu kiện chịu uốn như dầm và bản. Với bản mặt cầu, nứt chủ yếu do một cơ chế khác. Bản mặt cầu chủ yếu phát triển vết nứt theo chiều sâu, vết nứt ngang được tạo ra bởi co ngót. Do đó, việc kiểm soát khoảng cách cốt thép như được đề cập ở dây không phù hợp cho kiểm soát vết nứt bản mặt cầu.
Download here:
Crack width calculation
0 Comments